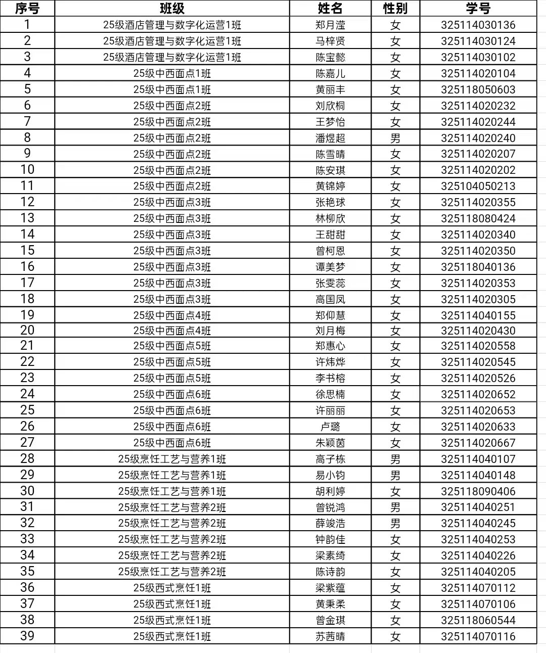
共青团推优工作,既是党在新时期储备后备力量、发挥助手作用的关键政治实践,也是共青团充分履行自身核心职能的重要载体 。根据共青团中央印发的《共青团推优入党工作实施办法(试行)》,经过个人申请和各支部严格依照程序召开的推优大会,我们拟推荐以下39名同学作为本次推优对象。现将酒店管理学院团组织推优名单予以公示:

公示期为:2025年10月14日—2025年10月19日,在公示期内如有任何异议,请于公示结束前,以实事求是、客观公正的态度,向联系人反映情况,并提供相应的佐证材料。
联系人:周志芳
联系电话:020-32887473
编辑|黄泽欣
初审|潘彩玲
复审|周志芳
终审|谢锦权